• Предмет: Математика
  • Автор: stupak776
  • Вопрос задан 2 года назад

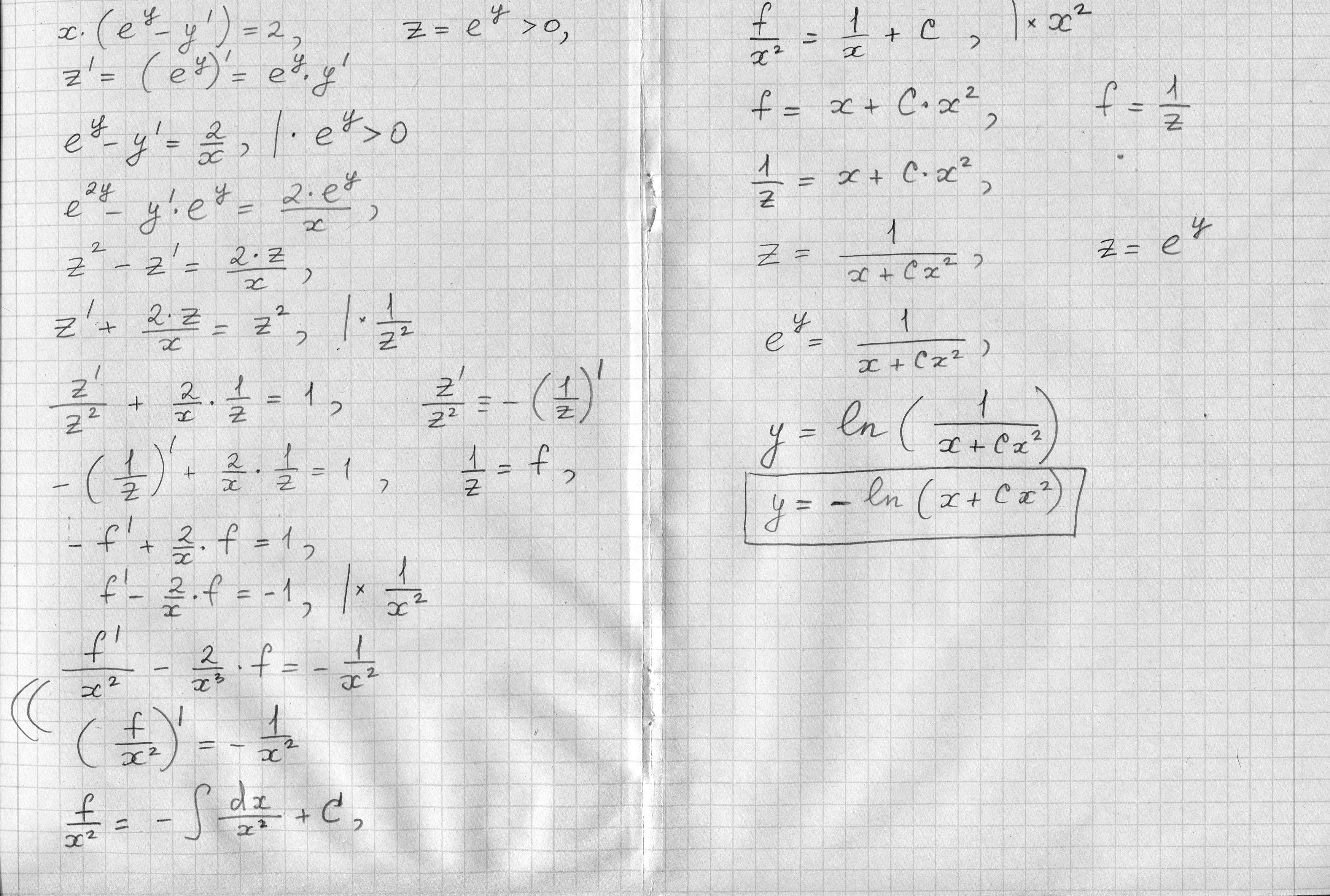
Помогите решить диф. уравнение

Приложения:

Ответы

Ответ дал: Аноним
2

я написал решение на листочке ===>>

Приложения:
Вас заинтересует