• Предмет: Алгебра
  • Автор: hairontv
  • Вопрос задан 2 года назад

Помогите!
Вычисли корень уравнения:
6,1+p=15,5

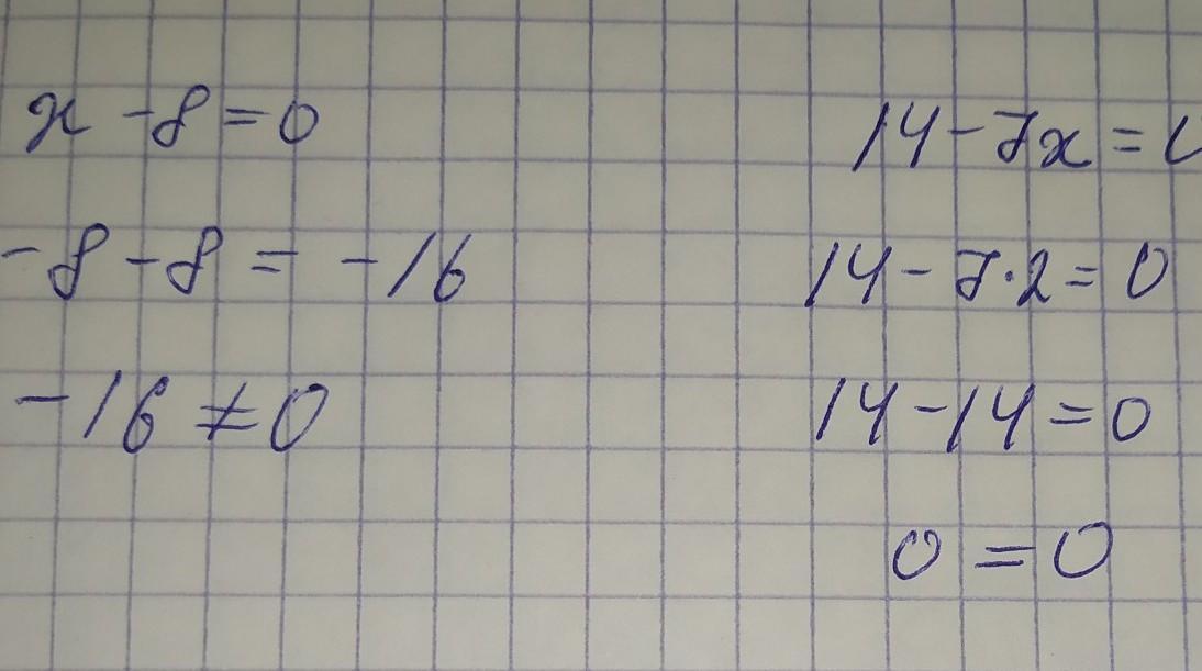
Является ли число −8 корнем уравнения x−8=0?

Является ли корнем уравнения 14−7x=0 число 2?

Вычисли корень уравнения:

5−14+(−4,75l)=18+5−8,75l.

На трёх полках находятся 100 книг. На первой полке в два раза больше книг, чем на второй, а на третьей — на 5 книг меньше, чем на первой.
Сколько книг на каждой полке?

Ответы

Ответ дал: totaota
1

Ответ:

Матеша в печень никто не вечен

Приложения:

hairontv: Спасибо, а на остальные даш?
Вас заинтересует