Даю 25 баллов.
Помогите решить пожалуйста,
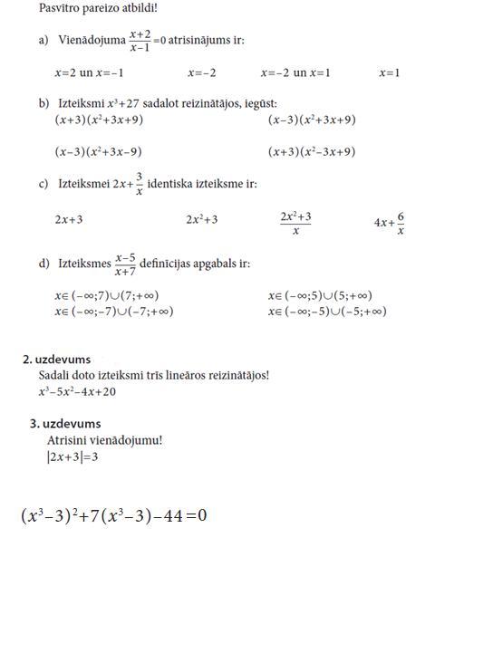
Выберите правильный ответ.
а) Решите уравнение: x+2/x-1
х = 2 и x = -1
x = -2
х = -2 и x = 1
x = 1
b)
Вызов х3+27 при распределении множителей получают:
(x +3)(x2+3x+9)
(x-3)(x2+3x+9)
(x-3)(x2+3x-9)
(x+3)(x2-3x+9)
c)
Выражение 2x+3/x идентичное выражение:
2x+3
2x2+3
2x2+3/x
4x+6/x
d)
Определение выражения x-5/x+7 является:
X e (-бесконечность;7)U(7;+бесконечность)
X e (-бесконечность;-7)U(-7;+бесконечность)
X e (-бесконечность;5)U(5;+бесконечность)
X e (-бесконечность;-5)U(-5;+бесконечность)
2 Задание
Разделение текущего выражения на линейных множителях!
x3-5x2-4x+20
3 Задание
Решите уравнение!
|2x+3|=3
(x3-3)2+7(x3-3)-44=0
Заранее спасибо!
Приложения:

Ответа на этот вопрос пока нет. Попробуйте найти его через форму поиска.
Вас заинтересует
2 года назад
2 года назад
3 года назад
8 лет назад
9 лет назад
9 лет назад