• Предмет: Алгебра
  • Автор: margoasirbekova
  • Вопрос задан 8 лет назад

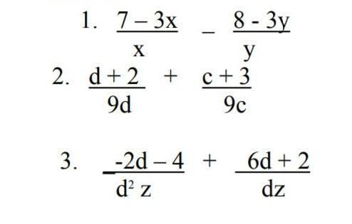
пожайлуста решите я не понимаю​

Приложения:

Ответа на этот вопрос пока нет. Попробуйте найти его через форму поиска.

Вас заинтересует