• Предмет: Математика
  • Автор: kata4137
  • Вопрос задан 2 года назад

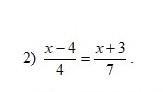
Решить уравнение. Математика ​

Приложения:

Ответы

Ответ дал: egorkiinozheredov
1

Ответ:

Х = 13 целых, 1/3

Пошаговое объяснение:

Перекрестно умножаем, получается

7х - 28 = 4х +12

3х = 40

х = 40/3

х = 13 целых, 1/3


kata4137: спасибо
egorkiinozheredov: не за что
Вас заинтересует