СРОЧНО!!!!!!!!
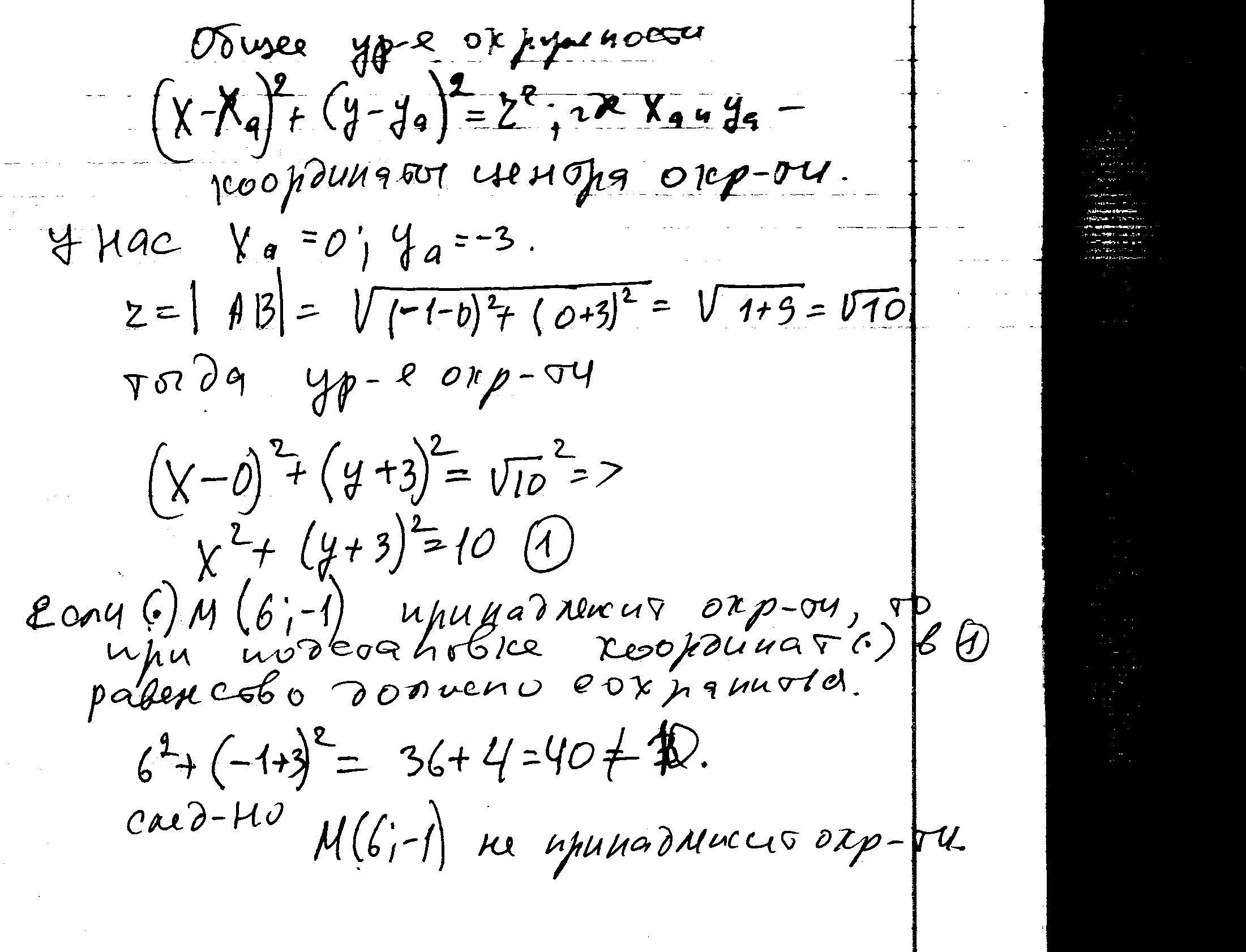
Даны точки А(0;-3),B(-1;0). Запишите уравнение окружности с центром в точке A и радиусом AB. Принадлежит ли этой окружности точка M(6;-1)?
Ответы
Ответ дал:
0
решение в скане...................
Приложения:
Вас заинтересует
3 года назад
3 года назад
8 лет назад
8 лет назад
11 лет назад
11 лет назад
11 лет назад