Ответы
Ответ дал:
10
Ответ:
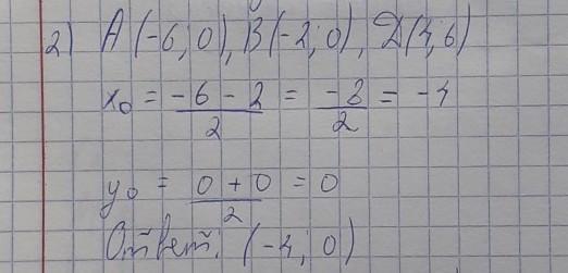
Всё решение на прикрепленной фотографии.
Приложения:

luizaab9989:
ответ не правильный
Вас заинтересует
1 год назад
1 год назад
1 год назад
3 года назад
3 года назад
8 лет назад