• Предмет: Математика
  • Автор: varaz48
  • Вопрос задан 2 года назад

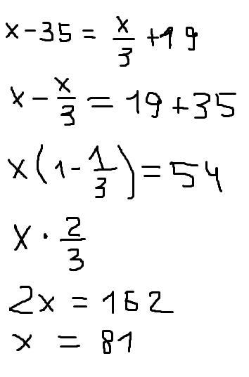
×-35=×÷3+19 пж помогите ми с мамой замучились уже 20 балов твои если решиш

Ответы

Ответ дал: TexnoStart
0
Правильно ведь? Уравнение такое было?
Приложения:

TexnoStart: Если что-то не понятно, то могу разъяснить, пиши сюда
varaz48: не совсем правильно ответ х=81
TexnoStart: Ну написали так, понятнее надо пример показывать(
Ответ дал: notyourway
1

Ответ:

x = 81

Пошаговое объяснение:

Приложения:
Вас заинтересует