• Предмет: Математика
  • Автор: irysina
  • Вопрос задан 2 года назад

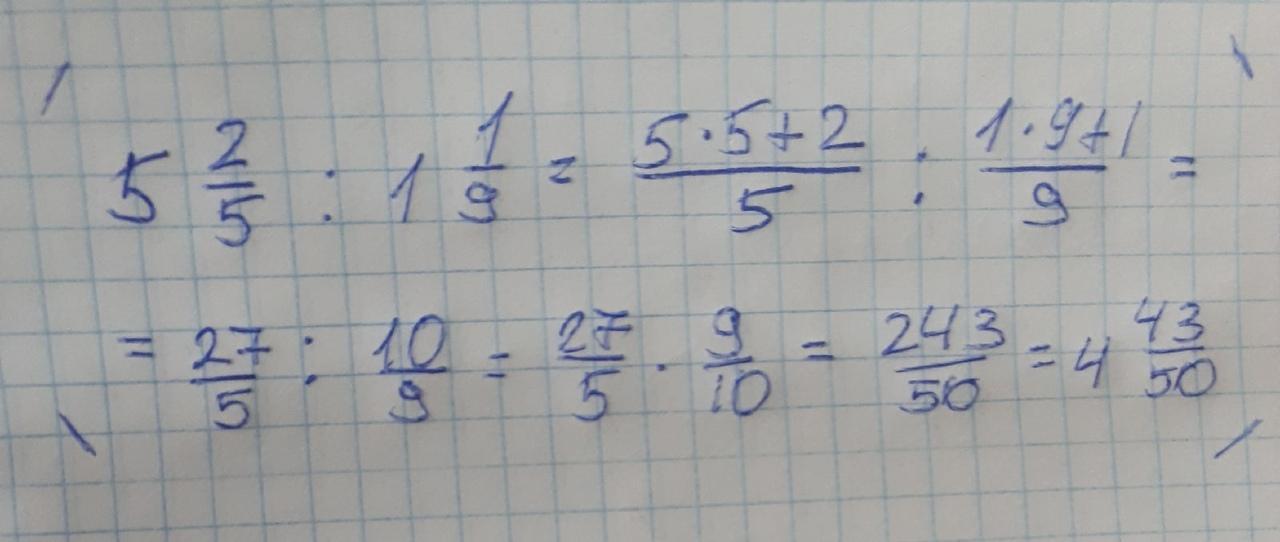
Помогите пожалуйста 5 2/5 : 1 1/9=

Ответы

Ответ дал: ERF43
0

Ответ: ниже фото с ответом.

Приложения:
Вас заинтересует