Ответы
Ответ дал:
0
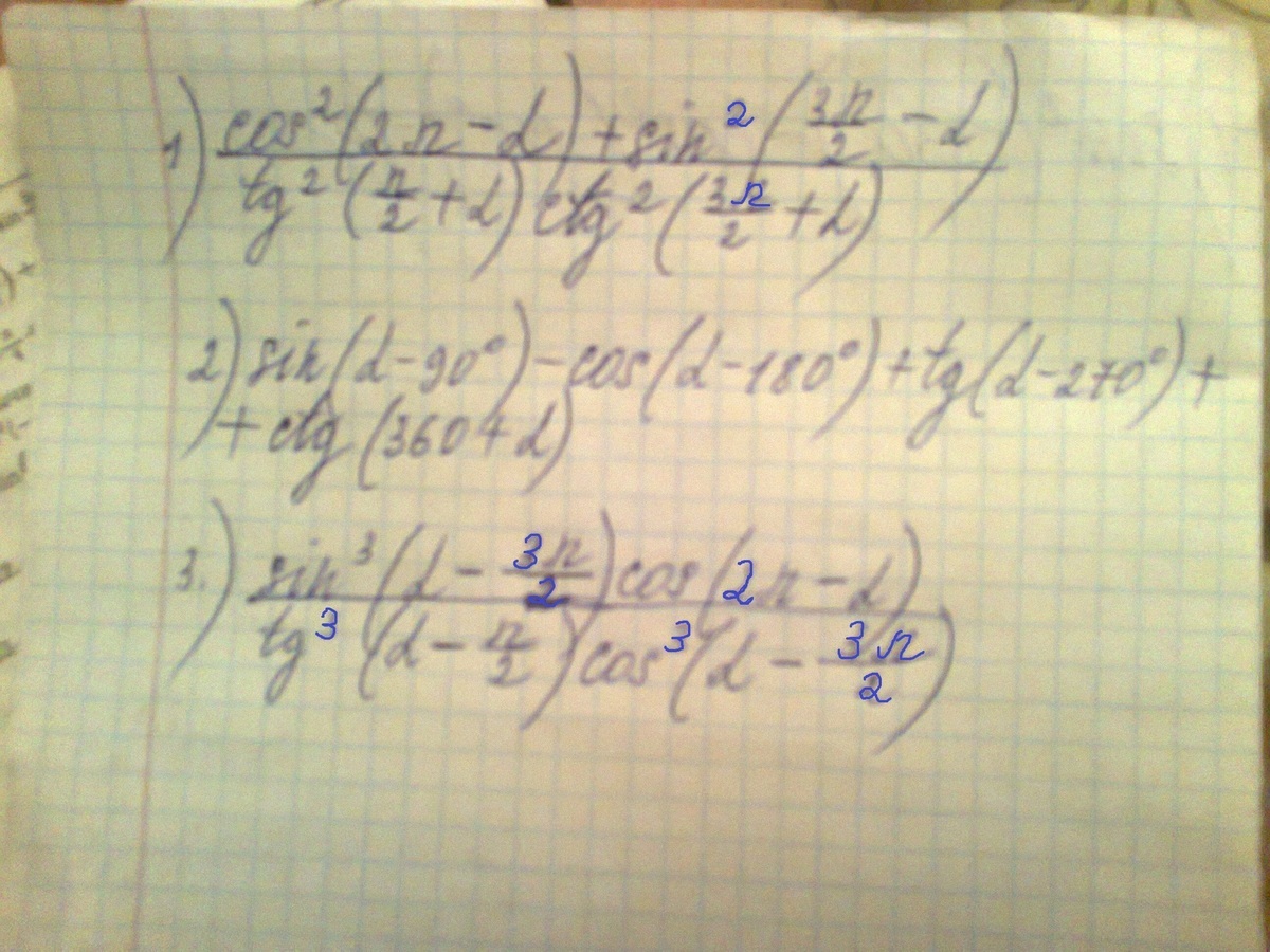
1)
(cos^2(2*pi-alpha)+sin^2(3*pi/2-alpha) ) / ( tg^2(pi/2+alpha)*ctg^2(3*pi/2+alpha ))=
=(cos^2(alpha)+cos^2(alpha) ) / ( ctg^2(alpha)*tg^2(alpha ))=2*cos^2(alpha)
2)
sin(alpha-pi/2)-cos(alpha-pi)+tg(alpha-3*pi/2)+ctg(2*pi+alpha)=
=-cos(alpha)+cos(alpha)-ctg(alpha)+ctg(alpha)=0
3)
(sin(alpha-3*pi/2))^3*cos(2*pi-alpha)/((tg(alpha-pi/2))^3*(cos(alpha-3*pi/2)^3)=
=(cos(alpha))^3*cos(alpha)/((-ctg(alpha))^3*(-sin(alpha)^3)=
=(cos(alpha))^4*(sin(alpha))^3/((cos(alpha))^3*(sin(alpha)^3)=
=cos(alpha)
(cos^2(2*pi-alpha)+sin^2(3*pi/2-alpha) ) / ( tg^2(pi/2+alpha)*ctg^2(3*pi/2+alpha ))=
=(cos^2(alpha)+cos^2(alpha) ) / ( ctg^2(alpha)*tg^2(alpha ))=2*cos^2(alpha)
2)
sin(alpha-pi/2)-cos(alpha-pi)+tg(alpha-3*pi/2)+ctg(2*pi+alpha)=
=-cos(alpha)+cos(alpha)-ctg(alpha)+ctg(alpha)=0
3)
(sin(alpha-3*pi/2))^3*cos(2*pi-alpha)/((tg(alpha-pi/2))^3*(cos(alpha-3*pi/2)^3)=
=(cos(alpha))^3*cos(alpha)/((-ctg(alpha))^3*(-sin(alpha)^3)=
=(cos(alpha))^4*(sin(alpha))^3/((cos(alpha))^3*(sin(alpha)^3)=
=cos(alpha)
Вас заинтересует
3 года назад
3 года назад
8 лет назад
8 лет назад
11 лет назад
11 лет назад
11 лет назад