• Предмет: Алгебра
  • Автор: Grinyova
  • Вопрос задан 11 лет назад

Ребяяят,помогите мне ;) В долгу не останусь )) 

Приложения:

Ответы

Ответ дал: prostomama1
0
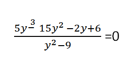
Смотри ответ на фтто 
Приложения:
Вас заинтересует