• Предмет: Физика
  • Автор: urumovzaur
  • Вопрос задан 8 лет назад

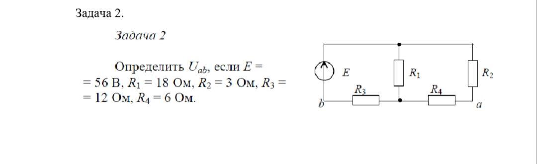
Очень срочно!!! Решите

Приложения:

Ответы

Ответ дал: ahmetshinrasulild
0

Ответ:

998625324083111680953

Объяснение:

Вас заинтересует