Ответы
Ответ дал:
0
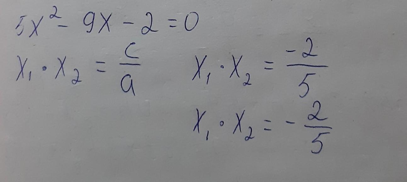
Ми знаходимо добуток коренів за допомогою теореми Вієта.
Приложения:

Вас заинтересует
2 года назад
3 года назад
3 года назад
8 лет назад
8 лет назад
9 лет назад