• Предмет: Алгебра
  • Автор: Shupa
  • Вопрос задан 11 лет назад

Не могу решить. Не получается вообще ничего(((

Приложения:

Ответы

Ответ дал: salima100
0
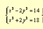
x^2= 14+2y^2
Подставим во второе ур-ие

14+2y^2+2y^2=18
4y^2=4
y^2=1
y=1


x^2=14+2=16
x=4
Вас заинтересует