• Предмет: Математика
  • Автор: Fygyv
  • Вопрос задан 2 года назад

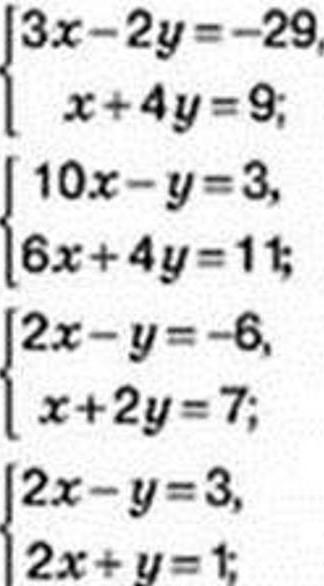
Помогите второй столбик решить система уравнений ​

Приложения:

Ответы

Ответ дал: ghdgdt
0

Ответ:

34473

Пошаговое объяснение:

Вас заинтересует