• Предмет: Математика
  • Автор: rvaxruschev2015
  • Вопрос задан 8 лет назад

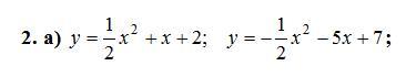
Вычислить площадь фигуры, ограниченной заданными параболами.Помогите пожалуйста

Приложения:

Ответа на этот вопрос пока нет. Попробуйте найти его через форму поиска.

Вас заинтересует