• Предмет: Алгебра
  • Автор: matrins
  • Вопрос задан 2 года назад

Помогите пожалуйста, очень срочно надо

Приложения:

matrins: Алгебра, ооооочень надо

Ответы

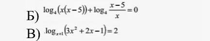
Ответ дал: Magistr2k19
1

Ответ:

б) x=5

в) x=0

Объяснение:

б)

\frac{x(x-5)(x-5)}{x} =0

x=5

в)

3x^{2} +2x-1=(x+1)^{2} \\2x^{2} =0\\x=0

Вас заинтересует