• Предмет: Геометрия
  • Автор: enotttik2271
  • Вопрос задан 2 года назад

Помогите пожалуйста решить 1 задачу.

Приложения:

Ответы

Ответ дал: sav1nav1k
1

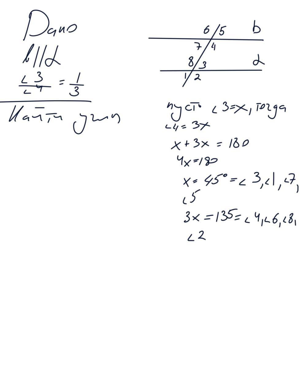
Тут все написано, отметь как лучшее пожалуйста

Приложения:
Вас заинтересует