• Предмет: Алгебра
  • Автор: fedyalapin
  • Вопрос задан 8 лет назад

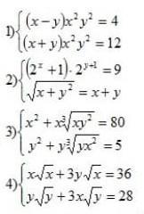
Прошу пожалуйста помогите срочно у меня остался час!!!!​

Приложения:

Ответа на этот вопрос пока нет. Попробуйте найти его через форму поиска.

Вас заинтересует