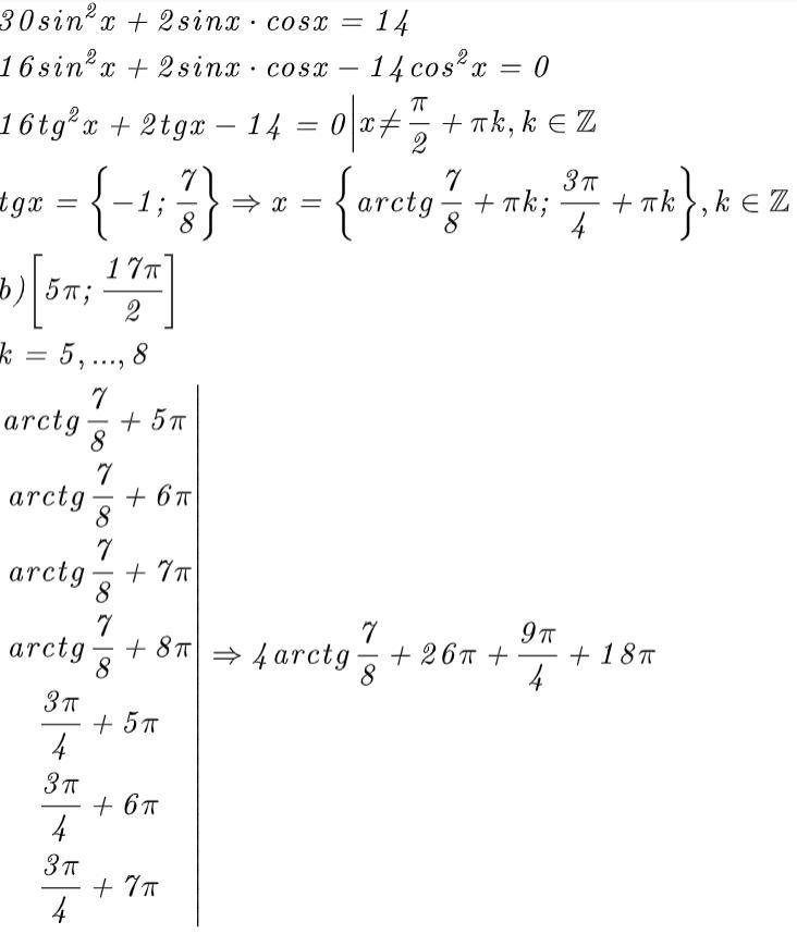
А) Реши уравнение 20sin^2x+sin2x−10cos^2x=4
б) Посчитай количество корней, принадлежащих отрезку [5π;17π/2]
Ответы
Ответ дал:
0
///////////////////////////////////////////////////
Приложения:

Вас заинтересует
1 год назад
1 год назад
3 года назад