• Предмет: Математика
  • Автор: novakvaleria984
  • Вопрос задан 2 года назад

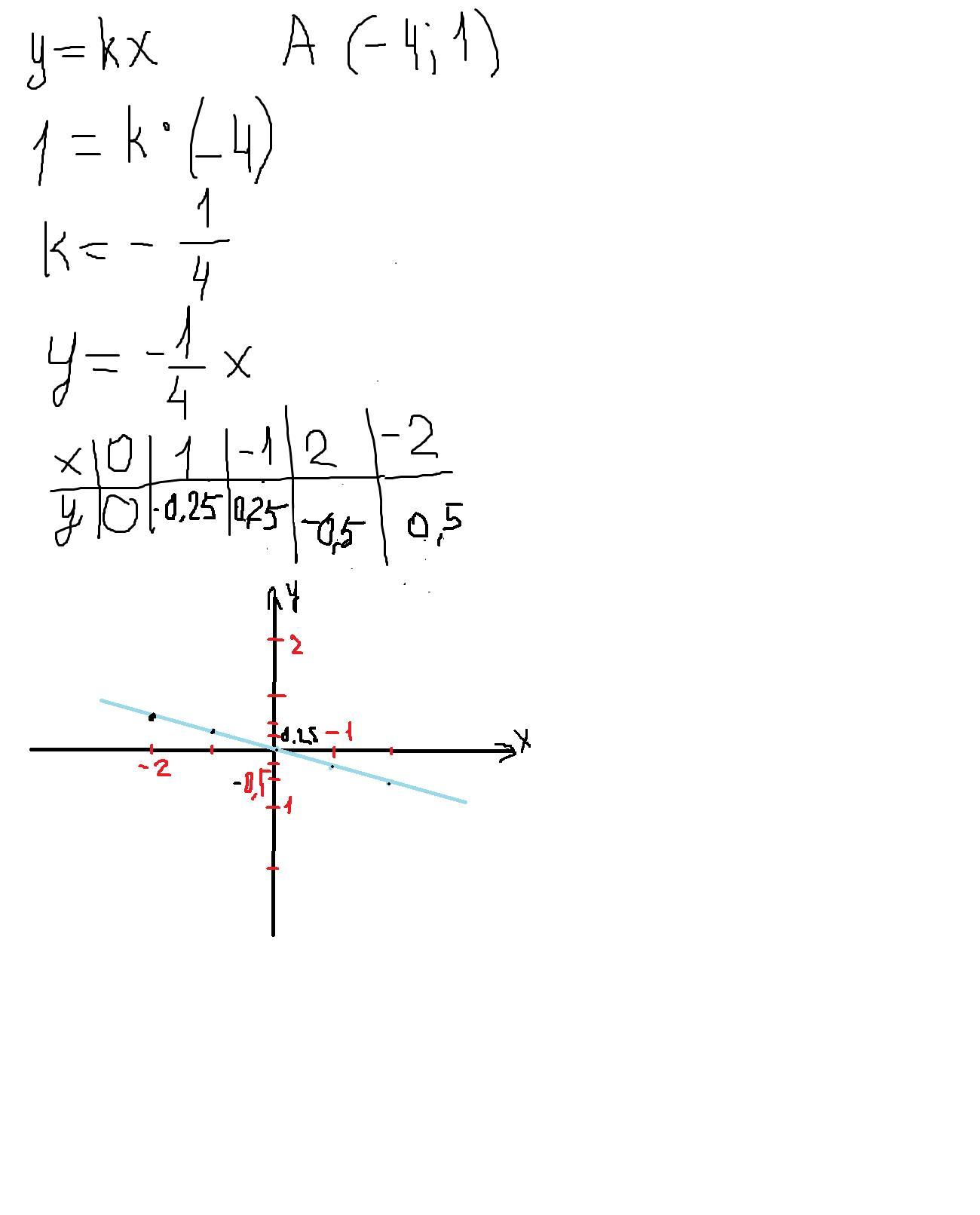
График функции y=kx проходит через точку A. Найдите величину k если A (-4;1)
Постройте график.

Ответы

Ответ дал: vladrov
1

Ответ:

Пошаговое объяснение:

Приложения:

novakvaleria984: спасибки)
Вас заинтересует