• Предмет: Алгебра
  • Автор: ТурбоКисель
  • Вопрос задан 8 лет назад

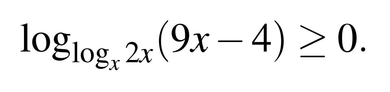
45 БАЛЛОВ! Пожалуйста, очень-очень нужна помощь!
Решить неравенство:

Приложения:

Ответа на этот вопрос пока нет. Попробуйте найти его через форму поиска.

Вас заинтересует