Ответы
Ответ дал:
0
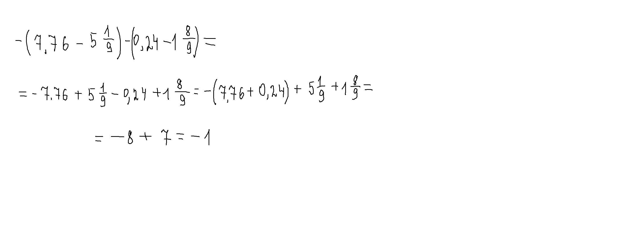
Ответ:
-1
Пошаговое объяснение:
решение внизу.
Приложения:

Вас заинтересует
2 года назад
3 года назад
3 года назад
9 лет назад