• Предмет: Алгебра
  • Автор: jdjdjsks6373
  • Вопрос задан 2 года назад

СРОЧНО!!!!!!! Помогите пожалуйста с уравнением.

Приложения:

Ответы

Ответ дал: vadim2605
1

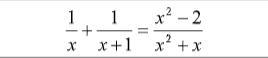
1/x + 1/x+1 =x²-2/x²+x

x+1+x-x²+2/x(x+1)=

-x²+2x+3/x(x+1)

x²-2x-3=0

x1=3

x2=1

x≠0

x+1≠0

x≠-1

Ответ дал: unicornaiya777
1

Ответ:\frac{1}{x}+\frac{1}{x+1}=\frac{x^{2}-2 }{x^{2}+x }

\frac{1}{x}+\frac{1}{x+1}-\frac{x^{2}-2 }{x(x+1)}=0

\frac{x+1+x-x^{2} +2}{x(x+1)} =0

\frac{2x+3-x^{2} }{x(x+1)} =0

\frac{-x^{2}+ 2x+3}{x(x+1)} =0

\frac{-x^{2}+3x-x+3}{x(x+1)} =0

\frac{-x(x-3)-(x-3)}{x(x+1)} =0

\frac{-(x-3)*(x+1)}{x(x+1)}=0

-\frac{x-3}{x} =0

\frac{3-x}{x} =0

3-x=0

3=x

x=3

Вас заинтересует