• Предмет: Алгебра
  • Автор: misuragorodok
  • Вопрос задан 2 года назад

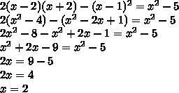
2(x-2)(x+2)-(x-1) ²=x²-5 ?​

Ответы

Ответ дал: nezhibetskiysergo
1

Ответ:

....

Объяснение:

Приложения:

misuragorodok: можно спросить куда делась 2 в третьем ряду,которая была с x²?
misuragorodok: *в 4к ряду
misuragorodok: это вообще правильный ответ?
nezhibetskiysergo: Да, это правильный ответ
misuragorodok: скажи пожалуйста куда подевалось 2х²и откуда там -9¿?
Вас заинтересует