РЕШИТЕ ПРИМЕРЫ С КОРНЯМИ
Просьба браться за решение тем,кто умеет решать такие примеры
ДАЮ 20 баллов
Приложения:

Ответы
Ответ дал:
0
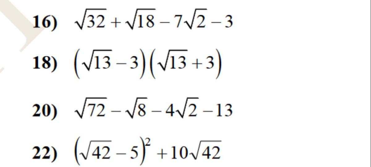
Ответ:
16)-3
18)4
20)-13
22)67
Объяснение:
16)
18)
20)
22)
Ответ дал:
0
Вас заинтересует
2 года назад
3 года назад
3 года назад
8 лет назад