• Предмет: Алгебра
  • Автор: botagozshomenova1
  • Вопрос задан 8 лет назад

помогитее пожалуйста очень нужнооооо​
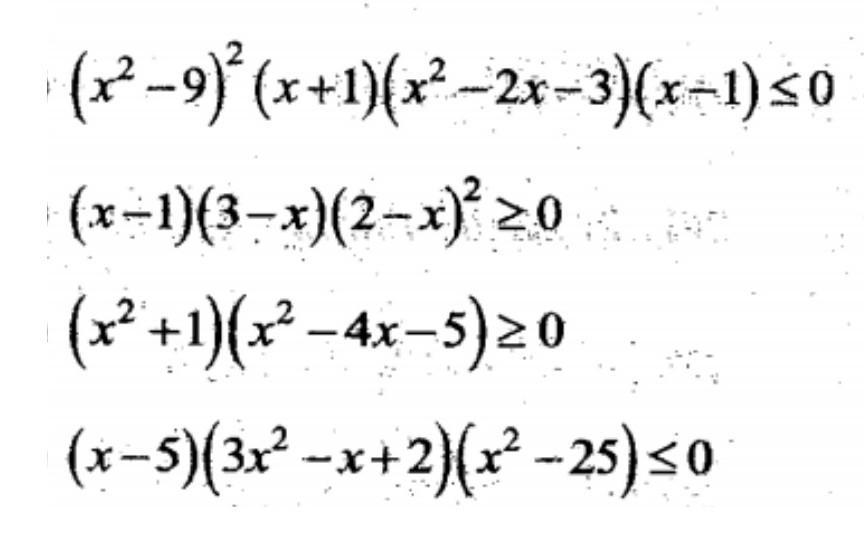
рациональные неравенства

Приложения:

Ответа на этот вопрос пока нет. Попробуйте найти его через форму поиска.

Вас заинтересует