• Предмет: Алгебра
  • Автор: mosgoo
  • Вопрос задан 2 года назад

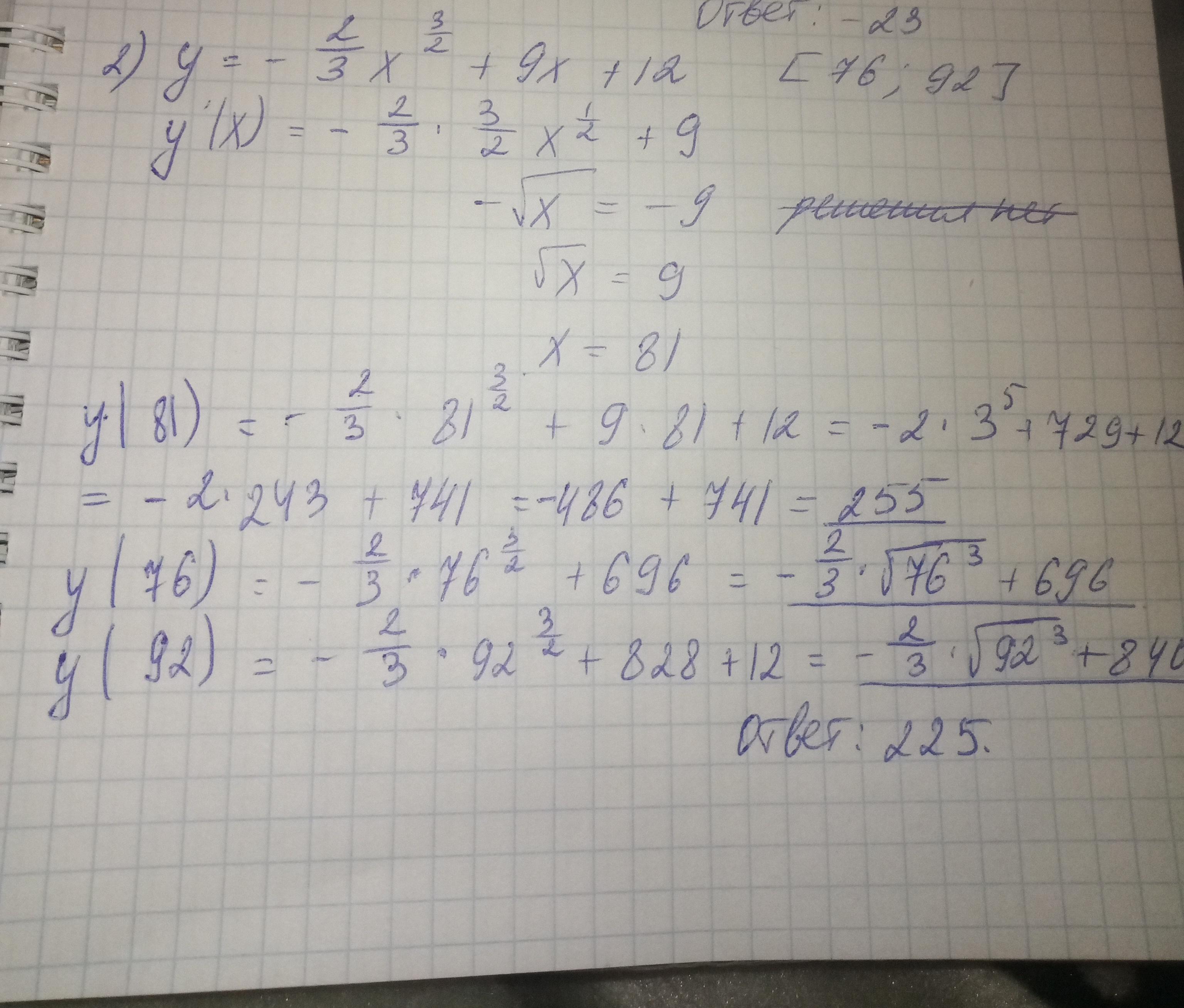
y= -2/3 x^3/2 +9x +12 найдите наибольшее значение функции на отрезке [76,92]

Ответы

Ответ дал: yulyaivanova550
5

Ответ:решение на фото

Объяснение:

Приложения:
Вас заинтересует