• Предмет: Алгебра
  • Автор: uriksargsan
  • Вопрос задан 8 лет назад

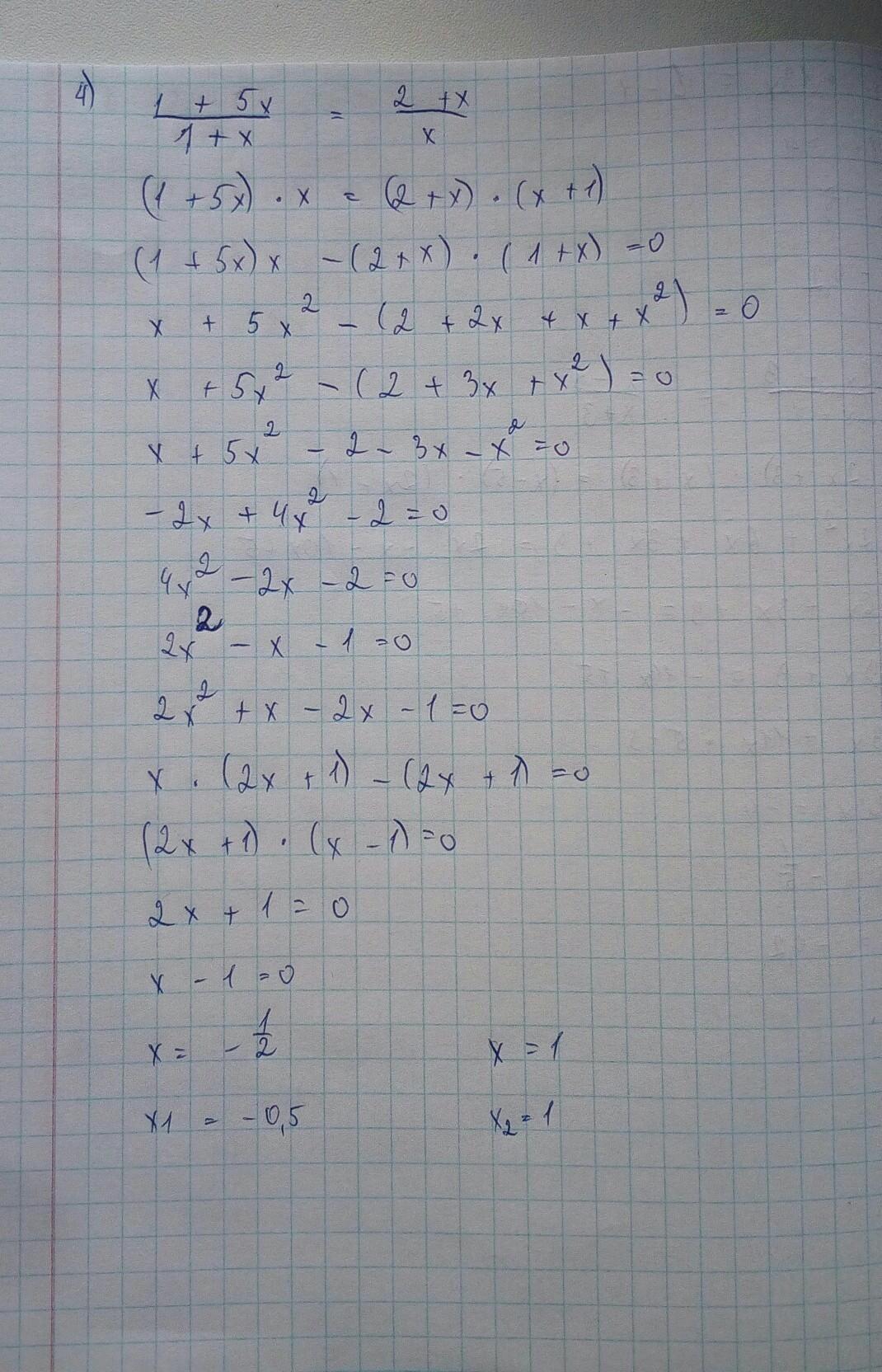
Помогите пожалуйста с математикой​

Приложения:

Ответы

Ответ дал: oTARANo2020
0

Объяснение:

В следующий раз ставьте больше баллов на решение, так как за эту работу 10 баллов мало, и никто не захочет решать

Приложения:
Ответ дал: uriksargsan
0
ладно спасибо
Вас заинтересует