• Предмет: Алгебра
  • Автор: Azino777Sova
  • Вопрос задан 2 года назад

(х-7)⁴+6(х-7)²-16=0 пж быстрее

Ответы

Ответ дал: nika9117
1

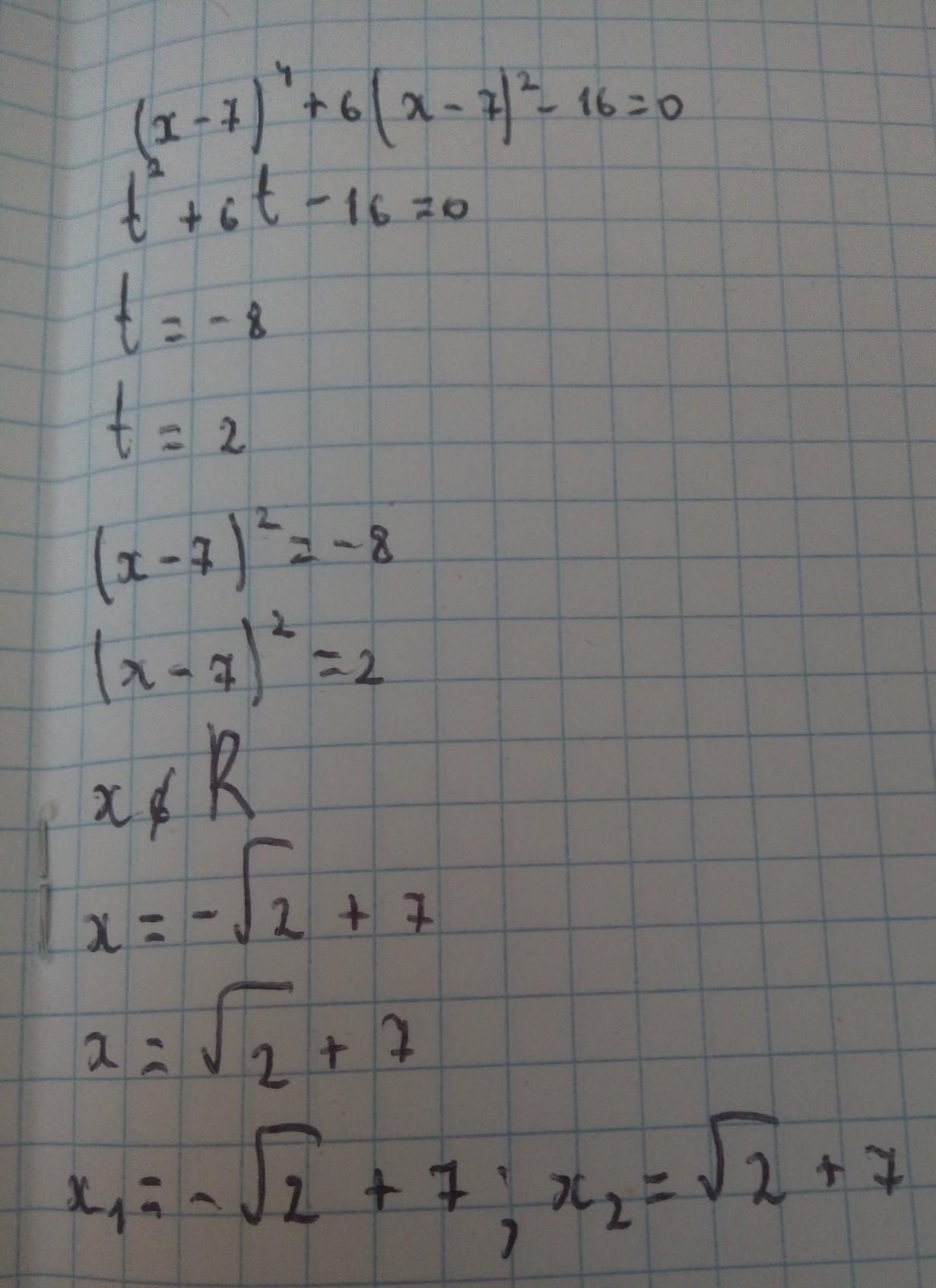
Ну воооооот, как то так)

Приложения:
Ответ дал: aminanurakhmet057
0

t²+6t-16=0

t=-8

t=2

(x-7)²=-8

(x-7)²=2

x≠-√2 +7

x=√2 +7

x=-√2 +7

x=√2 +7

Ответ: x₁=√2 +7; x₂=√2 +7

Вас заинтересует