• Предмет: Геометрия
  • Автор: makarova21
  • Вопрос задан 11 лет назад

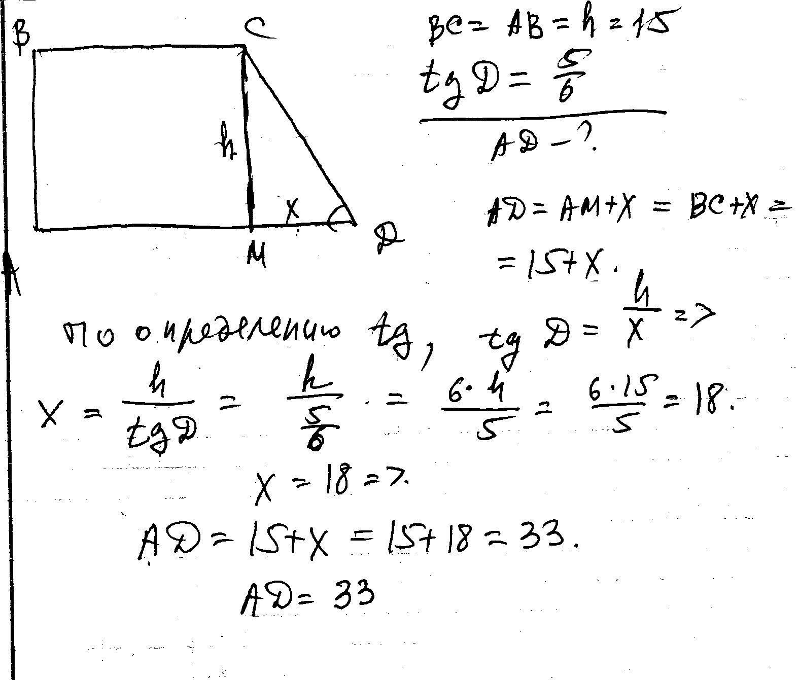
Тангенс острого угла прямоугольной трапеции равен пять шестых. найдите её большее основание,если меньшее равно высоте и равно 15

Ответы

Ответ дал: ужнеужели
0
решение в скане...................
Приложения:
Вас заинтересует