Ответы
Ответ дал:
1
Объяснение:
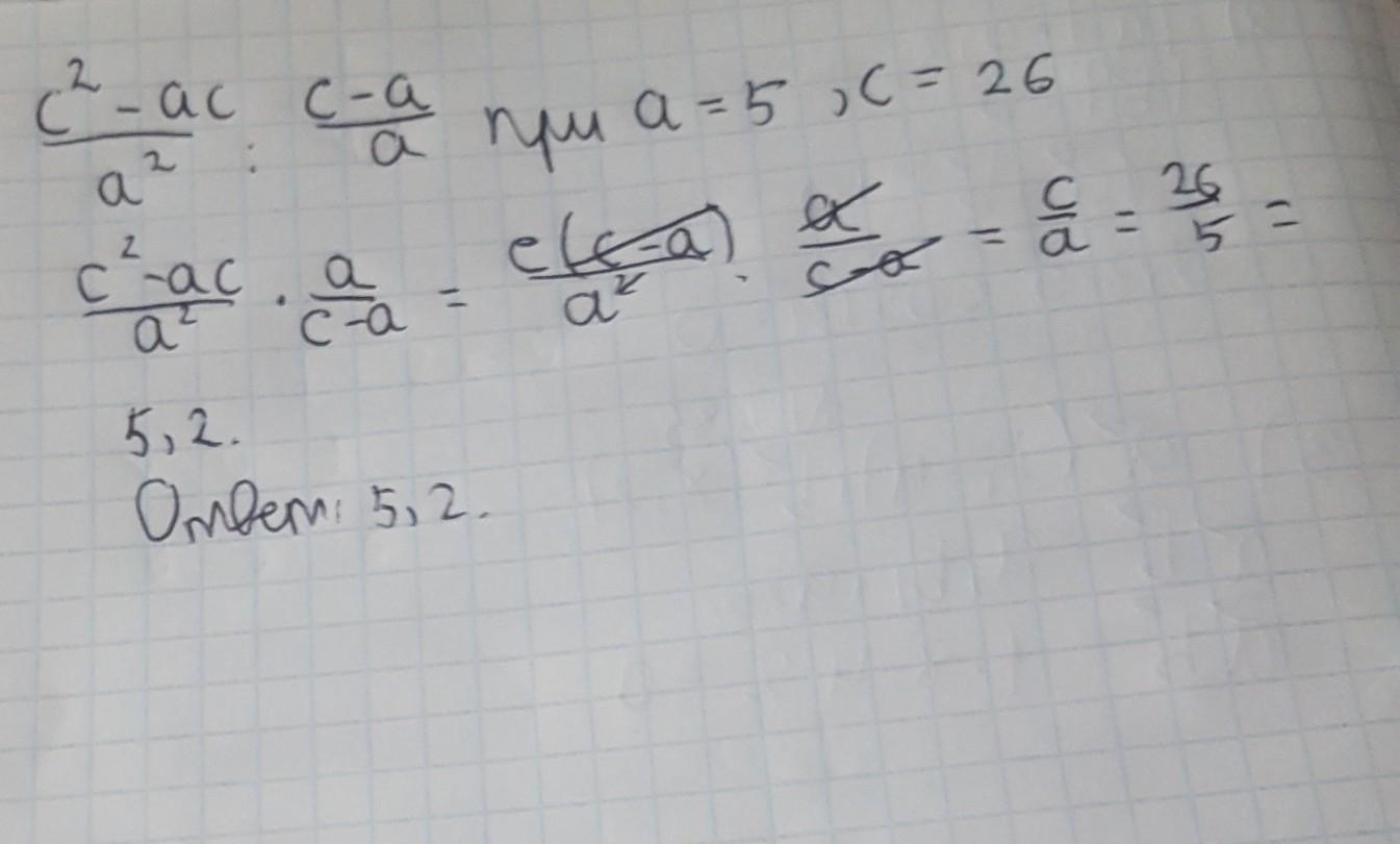
Решение на данном фото
Приложения:

KolyaMeshhev:
спасибо
Вас заинтересует
1 год назад
1 год назад
1 год назад
1 год назад
3 года назад
3 года назад
8 лет назад
8 лет назад