• Предмет: Математика
  • Автор: quaneanane
  • Вопрос задан 8 лет назад

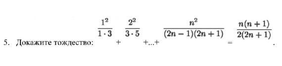
Докажите тождество методом мат.индукции

Приложения:

Ответа на этот вопрос пока нет. Попробуйте найти его через форму поиска.

Вас заинтересует