• Предмет: Алгебра
  • Автор: mmmm9095
  • Вопрос задан 2 года назад

ПОМОГИТЕ ПОЖАЛУЙСТА ДАМ 20 БАЛЛОВ​

Приложения:

Ответы

Ответ дал: Аноним
2

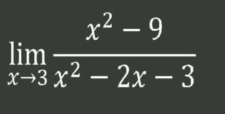
Разложим на множители числитель (х-3)(х+3)

и знаменатель (х-3)(х+1), предварительно, найдя по Виету х=3, х=-1

сократим дробь на (х-3)

получим дробь (х+3)/(х+1)

берем предел, раскрывая дробь, т.е. подставляя вместо х три.

получаем (3+3)/(3+1)=6/4=1.5

Вас заинтересует