• Предмет: Физика
  • Автор: Skyiter
  • Вопрос задан 2 года назад

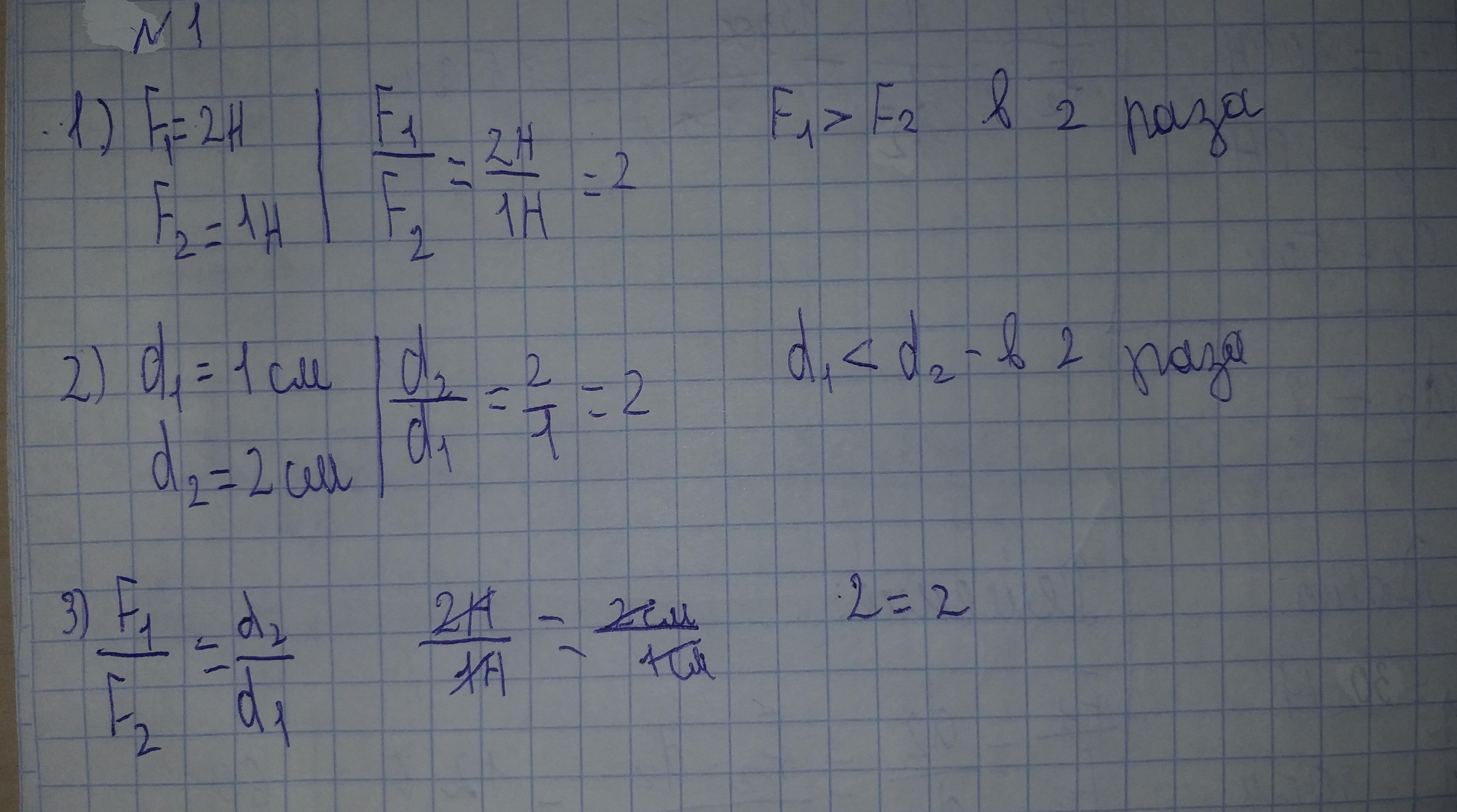
На рисунке изображен рычаг, находящийся в равновесии.
- Во сколько раз отличаются силы? Какая сила больше?

Приложения:

Ответы

Ответ дал: 777katy777
18

Ответ:ну как-то вот так

Объяснение:)

Приложения:

Rahimushka: красавица
umurbekovaaazan: Да хранят тебя все боги
Аноним: хватит остановитесь
777katy777: хаахахах
Вас заинтересует