• Предмет: Математика
  • Автор: dima07198
  • Вопрос задан 2 года назад

ПОМОГИТЕ ПОЖАЛУЙСТА

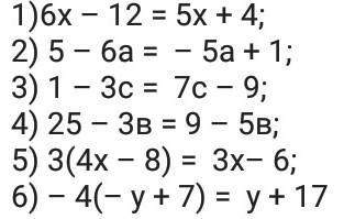
Приложения:

Ответы

Ответ дал: eleonaise
2

1)\\6x-12=5x+4\\6x-5x=4+12\\x=4+12\\x=16\\\\2)\\5-6a=-5a+1\\-6a+5a=1-5\\-a=1-5\\-a=-4\\a=4\\\\3)\\1-3c=7c-9\\-3c-7c=-9-1\\-10c=-10  \;\;\;\; |:-10\\c=1\\\\4)\\25-3b=9-5b\\-3b+5b=9-25\\2b=9-25\\2b=-16\;\;\;\;|:2\\b=-8\\\\5)\\3(4x-8)=3x-6\\12x-24=3x-6\\12x-3x=-6+24\\9x=-6+24\\9x=18\;\;\;\;|:9\\x=2\\\\6)\\-4(-y+7)=y+17\\4y-28=y+17\\4y-y=17+28\\3y=17+28\\3y=45\;\;\;\;|:3\\y=15

Вас заинтересует