• Предмет: Алгебра
  • Автор: vaprosav2
  • Вопрос задан 2 года назад

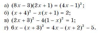
проверьте 2 первых примера и 2 остальных решите срочнааа
1) 2,5
2) -2

Приложения:

Ответы

Ответ дал: grecuhaevgenia12
1

Ответ:

вроде все правильно

б) у тебя правильно

Приложения:

vaprosav2: я получил 4( из-за того что 4 делить на 10 будет 2,5
vaprosav2: типичный я
Вас заинтересует