• Предмет: Геометрия
  • Автор: IvaKaluhi
  • Вопрос задан 2 года назад

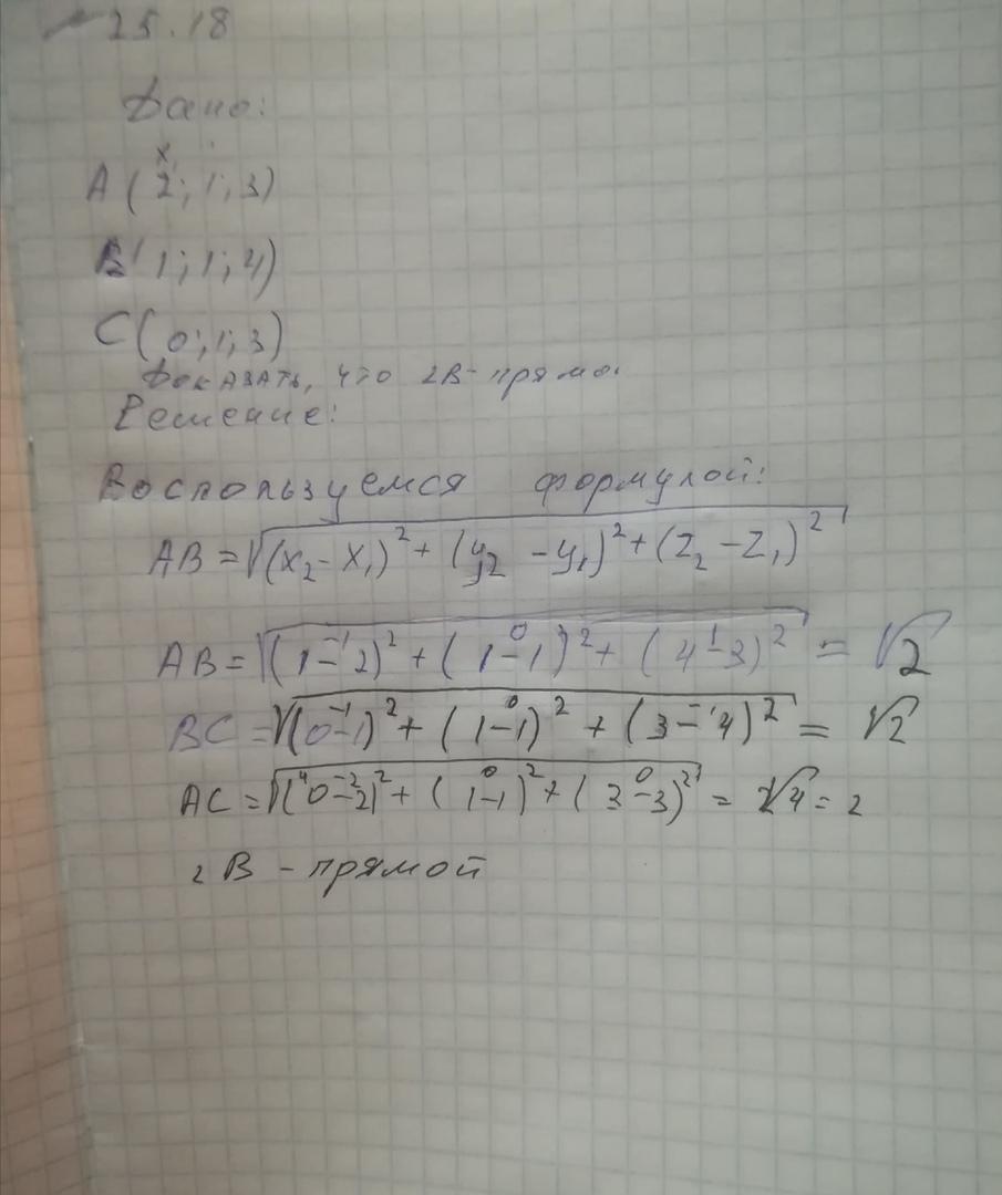
Докажите, что в треугольнике АВС, где А (2; 1; 3), В (1; 1; 4) и С (0; 1; 3), угол В прямой.

Ответы

Ответ дал: lolikad
22

Ответ:

Объяснение:

вот решение

Приложения:
Вас заинтересует