• Предмет: Математика
  • Автор: sergeysnutnov653
  • Вопрос задан 2 года назад

плис надо очень
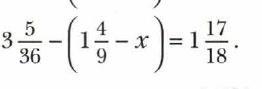
всего 1 уровнение

Приложения:

Ответы

Ответ дал: PlitDost01
0

Ответ:1/4

Пошаговое объяснение:

3 5/36-1 4/9+х=1 17/18(раскрыли скобки)

1 25/36+х=1 17/18

Х=1 17/18-1 25/36

Х=1/4

Вас заинтересует