• Предмет: Алгебра
  • Автор: Masha21201234
  • Вопрос задан 8 лет назад

ПОМОГИТЕ ПОЖАЛУЙСТА СРОЧНО!!!
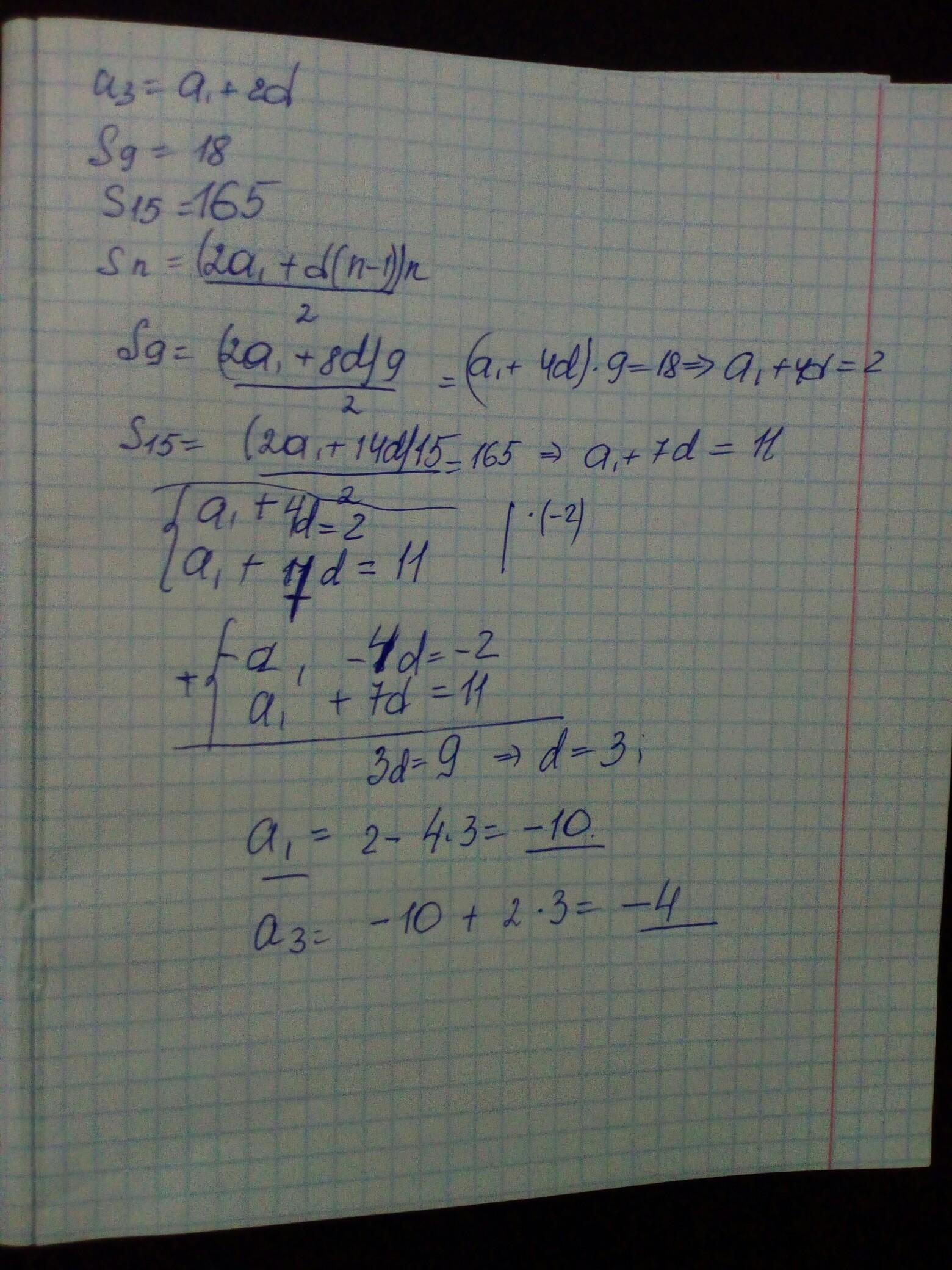
Знайдіть третій член арифметичної прогресії, якщо сума дев'яти перших
її членів дорівнює 18, а сума п'ятнадцяти перших членів — 165.​

Ответы

Ответ дал: ant20202020
0

Ответ:

...................

Объяснение:

Приложения:
Вас заинтересует