• Предмет: Математика
  • Автор: lenderpp85
  • Вопрос задан 8 лет назад

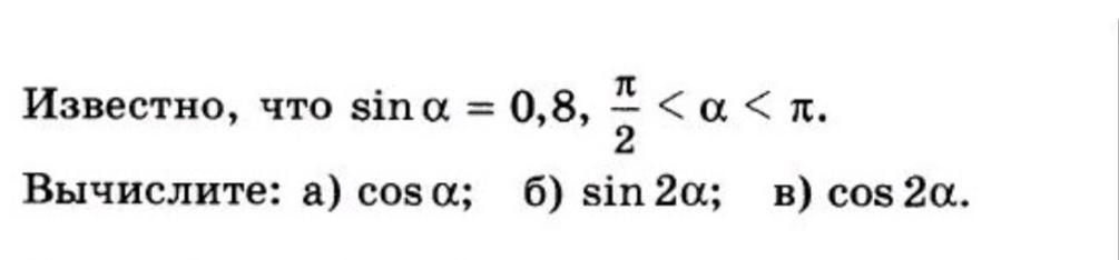
Математика / алгебра 10 класс

Приложения:

Ответы

Ответ дал: RTA1414
0

Ответ: а)cosα= -√5/5.   б) -0,32√5.   в)  cos2α= -0,128.

Пошаговое объяснение:

а) sinα=0,8, π/2<α<π.

   sin²α+cos²α=1;

   cos²α=1-sin²α;

   cosα= -√(1-sin²α), т.к. при  π/2<α<π  α∈II коорд. четверти ⇒ cosα<0.

   cosα= -√(1-0,8)= -√0,2= -√5/5.

б) sin2α=2sinαcosα;

  sin2α=2*0,8*(-√5/5)= -1,6√5/5= -0,32√5.

в) cos2α=cos²α-sin²α;

  cos2α= ( -0,32√5)²-0,8²=0,1024*5-0,64=0,512-0,64= -0,128.

Вас заинтересует