• Предмет: Алгебра
  • Автор: Hellokpop
  • Вопрос задан 8 лет назад

даю 10 баллов
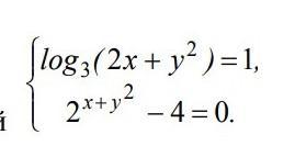
решить систему, заранее спасибо можно с решением​

Приложения:

Ответа на этот вопрос пока нет. Попробуйте найти его через форму поиска.

Вас заинтересует