Ответы
Ответ дал:
1
Ответ:
9/96
Пошаговое объяснение:
Ответ дал:
1
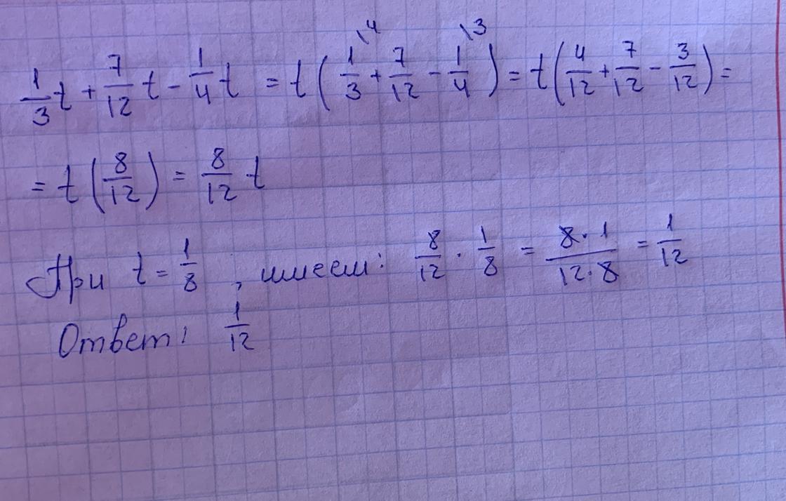
Ответ: 1/12
Пожалуйста
Пожалуйста
Приложения:

Вас заинтересует
1 год назад
1 год назад
3 года назад
3 года назад
8 лет назад