• Предмет: Алгебра
  • Автор: mviolag
  • Вопрос задан 8 лет назад

ДАЮ 30 БАЛЛОВ!!!
СРОЧНО ПОМОГИТЕ ПОЖАЛУЙСТА

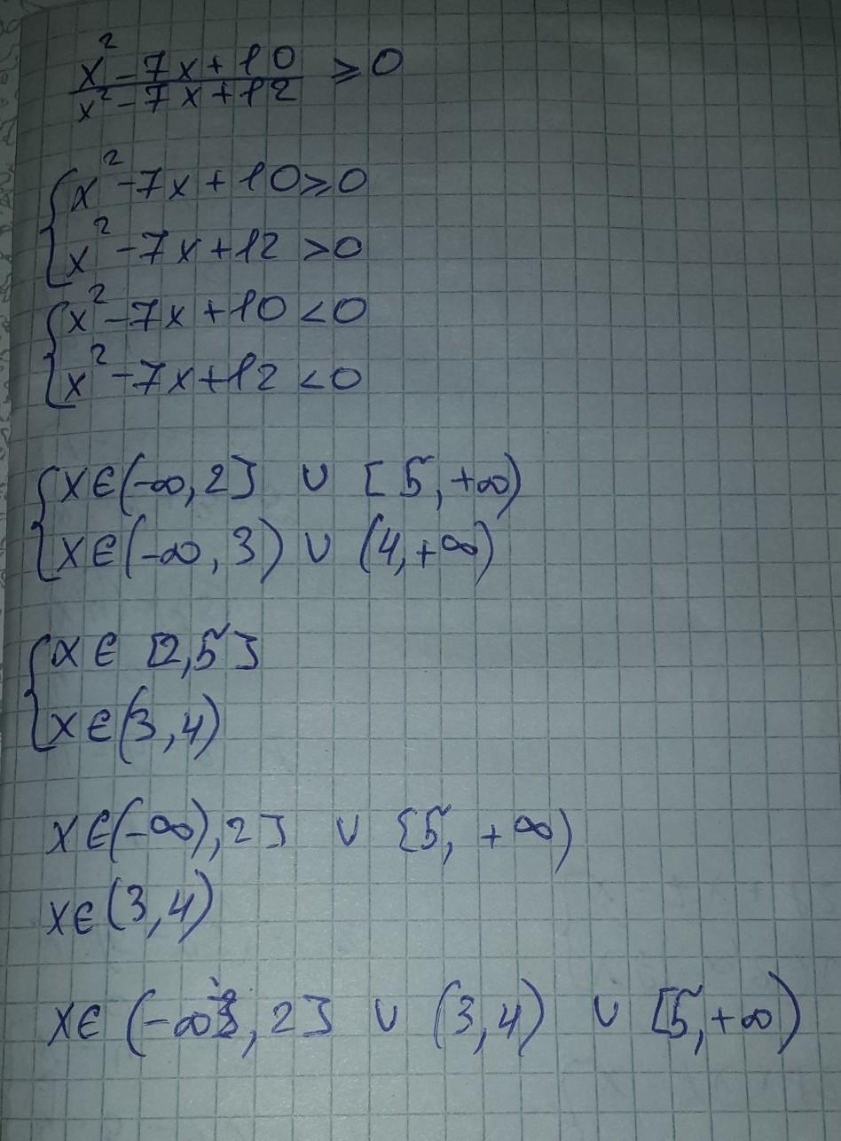
Реши неравенство методом интервалов, предварительно разложив на множители квадратные трехчлены в числителе и знаменателе дроби: ​

Приложения:

Ответы

Ответ дал: BlackFox2030
0

Ответ:

Ответ на фото.

где 2 кривых шарика, петля - это знак бесконечности.

Приложения:
Вас заинтересует