• Предмет: Алгебра
  • Автор: AngelFromHell
  • Вопрос задан 10 лет назад

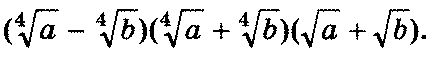
Упросить выражение.
Заранее спасибо!

Приложения:

Ответы

Ответ дал: Кузмичь
0
сделай в ворд ексель 
Вас заинтересует