• Предмет: Алгебра
  • Автор: cerednicenkovioletta
  • Вопрос задан 2 года назад

Срочно нужно решение даю 40 баллов

Приложения:

Ответы

Ответ дал: Ифигения
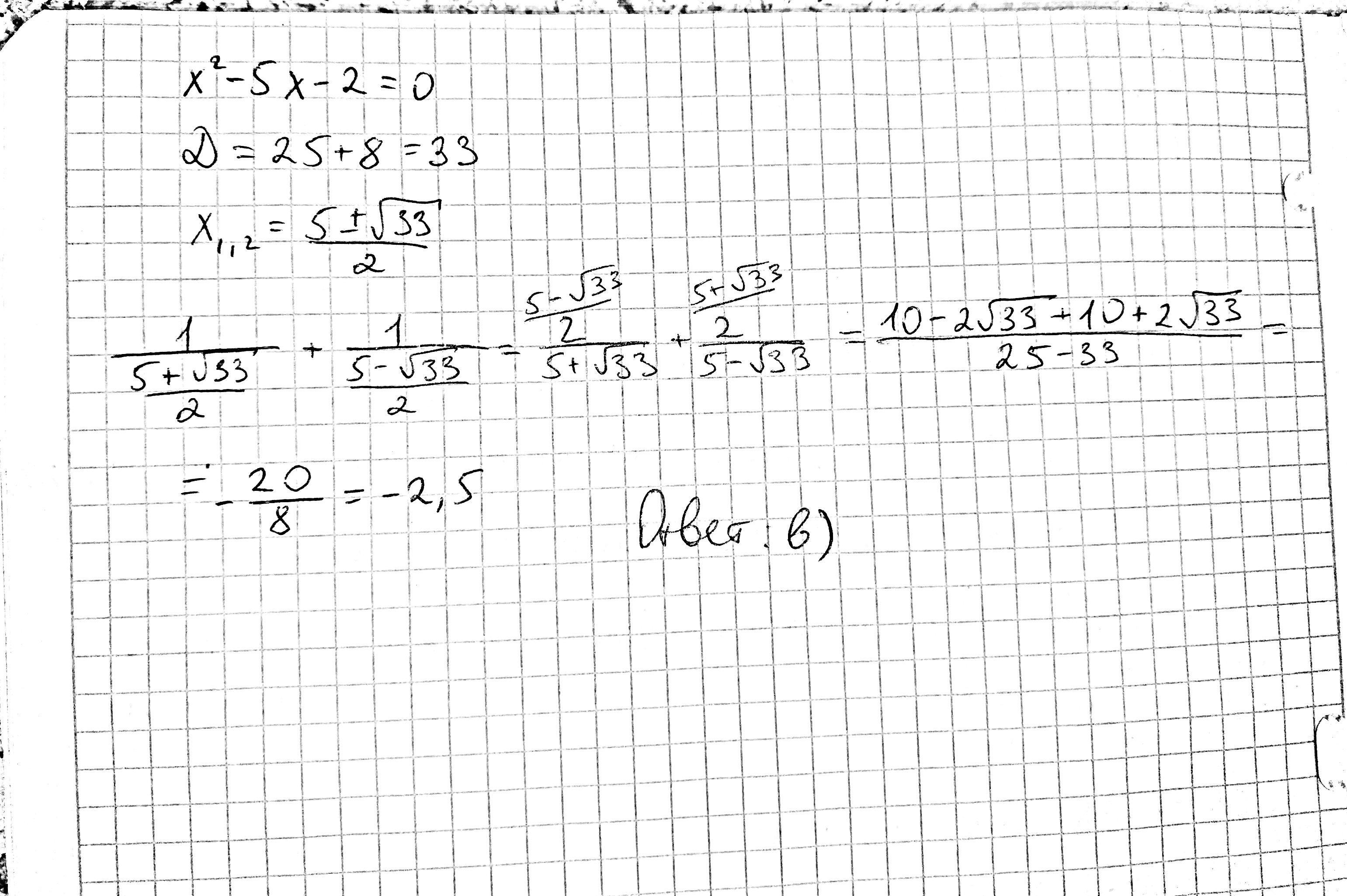
1

Ответ: в)

Объяснение: (во вложении)

Приложения:
Ответ дал: Аноним
0

По ВИету сумма корней равна 5. произведение корней  -2

1/х+1/у=(х+у)/(ху)=5/(-2)=-2.5

Ответ В) -2.5

Вас заинтересует