• Предмет: Алгебра
  • Автор: rusterbest
  • Вопрос задан 8 лет назад

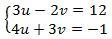
помогите решить алгебру, не нужно расписывать решение, просто ответы, дам 50 баллов, заранее спасибо

Приложения:

Ответы

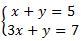
Ответ дал: m11m
0

Ответ:

Объяснение:

!!!!!!!!!!!!!!!

Приложения:
Вас заинтересует