• Предмет: Алгебра
  • Автор: nikto678
  • Вопрос задан 8 лет назад

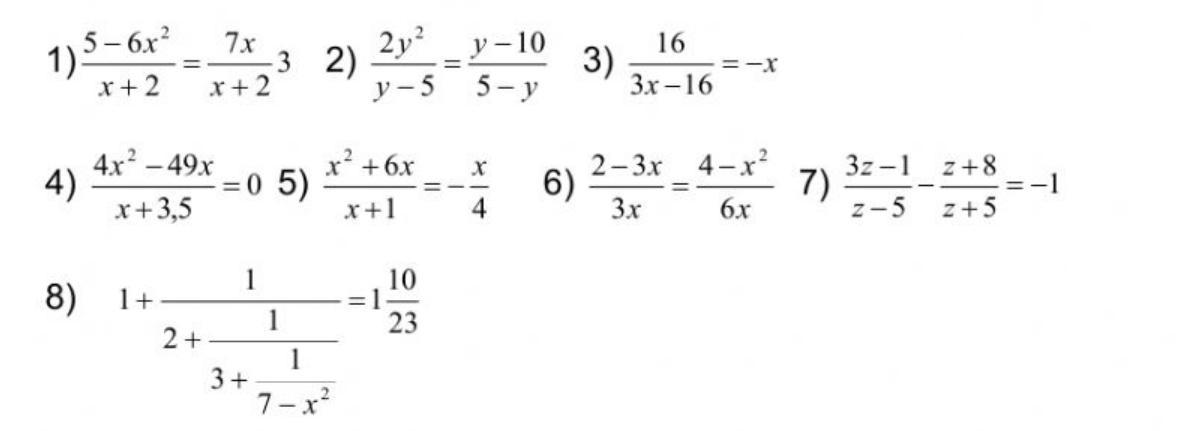
Как это решается?
хотя бы 4 или все

Приложения:

Ответы

Ответ дал: danilmurzin203
0

Ответ:

скачай калькулятор “Photomath„ и он работает через камеру без интернета!

Объяснение:

в нём есть множество формул через которые ты всё решишь!

Ответ дал: nikto678
0
не могу найти можно скриншот или на английском название?
Ответ дал: Zolotukhiiin
0

Ответ: В прикрепленном файле решено 4

Приложения:
Вас заинтересует