• Предмет: Математика
  • Автор: vikaivan2007
  • Вопрос задан 8 лет назад

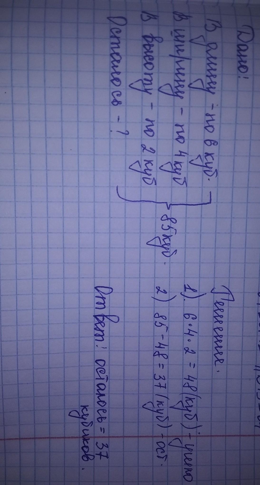
У Пети было 85 кубиков. Он сложил прямоугольный параллелепипед: 6
кубиков в длину, 4 кубика в ширину и 2 кубика в высоту. Сколько кубиков у
него осталось?

Ответы

Ответ дал: JLIC
0

Ответ:

6х4х2=48(потратил)

85-48=37 осталось

Пошаговое объяснение:

Ответ дал: moniiis
0

Пошаговое объяснение:

так как у нас прямоугольный прямоугольник по все числа мы умножаем, и чтобы найти сколько осталось от общей суммы вычислениям полученную сумму.

подробнее на фотографии

Приложения:
Вас заинтересует