• Предмет: Алгебра
  • Автор: meryfill
  • Вопрос задан 8 лет назад

Вопрос
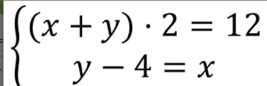
Решением какой задачи является данная система уравнений?
Решите эту задачу.
Укажите один или несколько правильных вариантов ответа:
Ширина 2 см, длина 4 см.


Периметр прямоугольника равен 2 см. Известно, что ширина меньше длины на 12 см. Найдите стороны прямоугольника.

Ширина 5 см, длина 1 см.

Периметр прямоугольника равен 4 см. Известно, что ширина меньше длины на 12 см. Найдите стороны прямоугольника.

Периметр прямоугольника равен 12 см. Известно, что ширина меньше длины на 4 см. Найдите стороны прямоугольника.

Ширина 1 см, длина 5 см.

Ширина 4 см, длина 2 см.

Периметр прямоугольника равен 12 см. Известно, что ширина меньше длины на 2 см. Найдите стороны прямоугольника.

Приложения:

Ответа на этот вопрос пока нет. Попробуйте найти его через форму поиска.

Вас заинтересует